Универсальный цифровой контроллер Honeywell UDC3500 – это новый контроллер семейства UDC фирмы Honeywell (Honeywell DC3500, Honeywell DC3501)
Новые опции включают: инфракрасный интерфейс, три универсальных аналоговых входа, два контура управления и математические алгоритмы.
Гибкость применений обеспечивается универсальными аналоговыми входами, универсальным источником питания, тремя универсальными аналоговыми входами, четырьмя дискретными входами, семью аналоговыми и дискретными выходами (максимум), протоколами связи RS422/485 Modbus RTU или Ethernet 10Base-T TCP/IP, простотой конфигурирования и возможностью усовершенствования любыми дополнительными функциями.
Возможности Honeywell UDC3500:
• 3 универсальных аналоговых входа (могут быть сконфигурированы как 1 универсальный вход и 4 входа высокого уровня)
• Точность 0.10%
• Высокая дискретизация (166 мс)
• До 3 аналоговых выходов
• До 5 дискретных выходов
• Четыре Дискретных входа
• Математические функции
• Связь по Ethernet и Modbus
• Каскадное или двухконтурное управление
• Конфигурация при помощи карманного или стационарного ПК через инфракрасный порт
• Отслеживание работоспособности
• Защита лицевой панели NEMA4X и IP66
• Многоязычное меню
• Размер 1/4 DIN
• Легко модернизировать
• Яркий, двойной дисплей с многоязычным меню (на Английском, Французском, Немецком, Итальянском и Испанском), делает интерфейс оператора легким для чтения, понимания и работы. Простые надписи позволяют Вам быстро сконфигурировать контроллер.


Техническая документация на температурный контроллер Honeywell UDC3500 (ru)
Инструкция Honeywell UDC3500 (en)
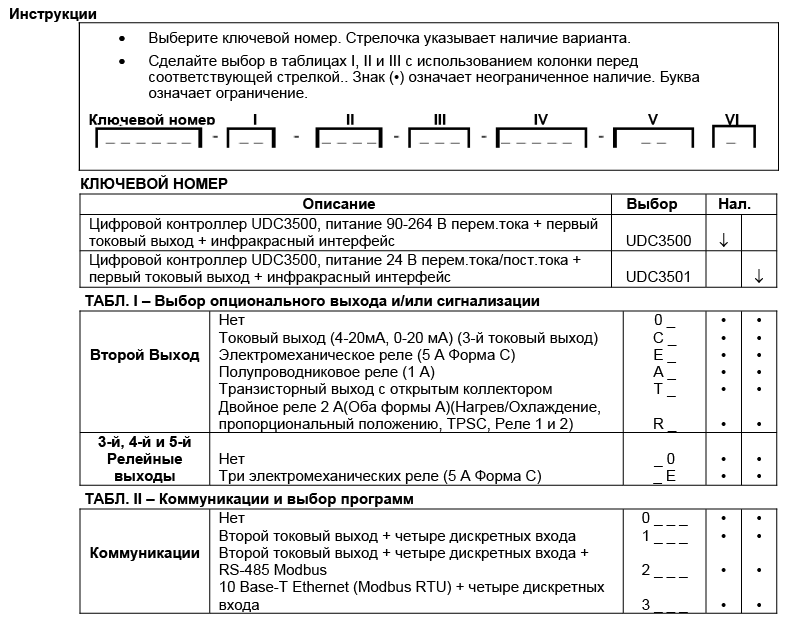
Наиболее часто используемые модификации контроллеров Honeywell DC3500:
Honeywell DC3500-RE-0000-213-00000-E0-0
Honeywell DC3500-RE-3C2C-224-00000-00-0
Honeywell DC3500-0E-0000-200-00000-00-0
Honeywell DC3500-00-1000-200-00000-E0-0
Honeywell DC3501-RE-1000-161-10000-E0-0
Honeywell DC3500-EE-2A00-211-00000-00-0
Бренды | Honeywell |
Помогите другим пользователям с выбором - будьте первым, кто поделится своим мнением об этом товаре.
Аналоговые входы
UDC3500 имеет три универсальных аналоговых входа со стандартной точностью ±0.10% от входного диапазона и стандартным разрешением 16 бит. Они могут быть легко сконфигурированы, чтобы работать как 2 универсальных входа и 2 входа высокого уровня или 1 универсальный и 4 входа высокого уровня.
Все аналоговые входы имеют частоту дискретизации 6 раз в секунду. Первый вход (вход переменной процесса) может принимать сигналы от термопар, термометров сопротивления, Radiamatic или линейного типа.
Линейный вход может принимать сигналы от преобразователей термопар, термометров сопротивления или Radiamatic. Для линейных входов существует возможность извлечения квадратного корня.
Изолированный второй и третий вход могут принимать те же типы входных сигналов, как и первый вход. Эти входы могут быть разделены на 2 входа высокого уровня (каждый).
Четвертый вход активируется, когда второй вход сконфигурирован как 20 мА или 5 В (Аналоговый вход высокого уровня HLAI). В этом случае 4-й вход доступен как вход высокого уровня.
Пятый вход активируется, когда третий вход сконфигурирован как 20 мА или 5 В. В этом случае 5-й вход доступен как вход высокого уровня.
Все типы и характеристики входов выбираются при помощи клавиш. Для максимизации точности, все входы от термопар снабжаются компенсацией холодного спая. Выбор значения для безопасного управления в случае сбоя сенсора, выбирается при помощи клавиш. Такие опции , как извлечение квадратного корня, Соотношение/Отклонение и конфигурируемый цифровой фильтр (от 0 до 120 секунд), для демпфирования входного сигнала, доступны для всех входов.
Выходы и управление
UDC3500 может иметь до 7 выходов следующих типов:
• Токовый выход (4-20 или 0-20 мА)
• Электромеханические реле (5 А)
• Полупроводниковые реле (1 А)
• Двойное электромеханическое реле (2 А)
• Выходы с открытым коллектором



Для заказа оборудования Honeywell обращайтесь в отдел продаж:
Телефон для связи с отделом продаж и технической поддержкой:
8-800-350-57-63 (Бесплатный звонок из любой точки РФ)
Whatsapp для связи с отделом продаж и технической поддержкой:
+7958-623-59-59