Honeywell VQ450MC1005 - предохранительные комбинированные клапаны используются для управления и регулирования газа в горелках, газовых котлах, плавильных печах, печах для сжигания газовых отходов и других устройствах, использующих газ.
Два быстро срабатывающих клапана соединены в одном корпусе. Модульная конструкция позволяет расширять функционал за счет добавления дополнительных устройств - боковой клапан VB420C1014, реле давления газа, система проверки клапанов и другое оборудование
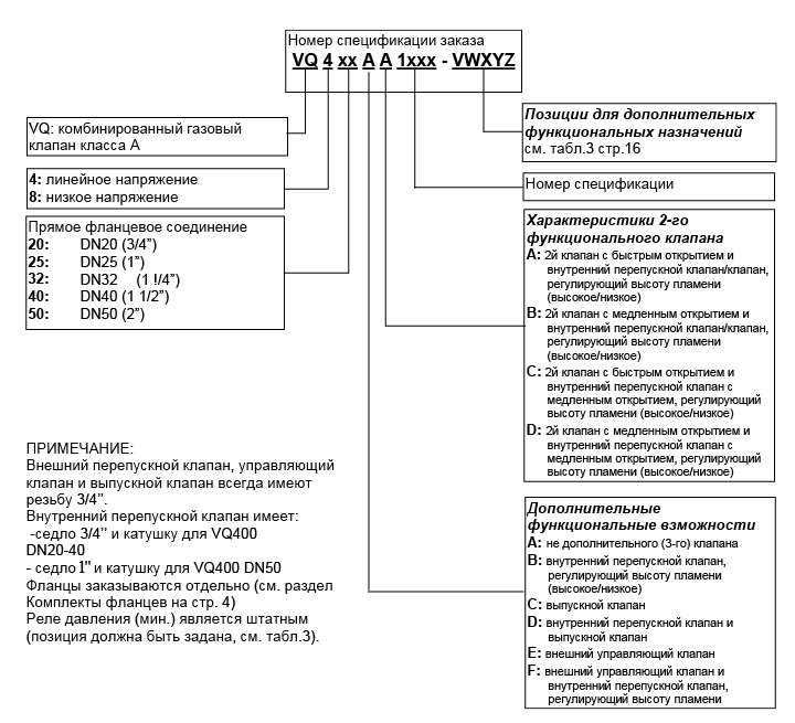
Основные характеристики
Используются в горелках и котлах Baltur ,Ferroli, Weishaupt, Giersch, Viessmann, Lamborghini, ACV, Riello, Roca, Oilon, FBR, Ecoflam, Bentone, Cuenod.
Особенности:
· Основной корпус с двумя газовыми клапанами в одном седле.
· Внутренний перепускной клапан для управления пламенем ( достижение высокого низкого пламени)
· Внутренний или внешний управляющий клапан
· Выпускной клапан
· Возможность установки фланцевых реле давления (мин. и макс.).
· Система проверки клапана (VPS)
· Время закрытия: < 1сек
· Катушки, заменяемые в эксплуатации
· Мелкосетчатый фильтр между входным фланцем и основным корпусом.
· Различные точки для штуцеров для измерения давления, имеющееся на основном корпусе, когда не используются дополнительные клапаны или реле давления.
· Комбинированные клапаны серии VQ 400 имеют измерительные наконечники у фланцев для измерения давления газа на входе и выходе;
· Второй главный клапан, либо с регулятором расхода (быстрое действие), либо с механизмом раскрытия (медленное действие) с регулируемым максимальным расходом и перепадом давления.
Характеристики:
Время открытия рабочего клапана (V1) менее 1 секунды. Второй клапан (V2), перепускной клапан (VЬ) и управляющий клапан могут быть либо быстро открывающимися (время открытия менее 1 секунды), либо регулироваться на время открытия от 1 до 30 сек при номинальной производительности.


Бренды | Honeywell |
Для заказа оборудования Honeywell обращайтесь в отдел продаж:
Телефон для связи с отделом продаж и технической поддержкой:
8-800-350-57-63 (Бесплатный звонок из любой точки РФ)
Whatsapp для связи с отделом продаж и технической поддержкой:
+7958-623-59-59
Способы оплаты за Honeywell VQ450MC1005
Минимальная сумма для заказа - 15 тысяч рублей
Мы работаем с юридическими лицами России
Юридические лица из России оплачивают заказ согласно выписанному счету.
Для юридических лиц стоимость товара сохраняется на момент получения счёта и в соответствии с правилами резервирования.
Способы доставки Honeywell VQ450MC1005
Отправка товаров осуществляется в будние дни с 8:00 до 18:00
Мы отправляем газовые клапаны Honeywell по России
Стоимость доставки рассчитывается индивидуально и зависит от веса груза, габаритов, региона отправки, срочности доставки.
Порядок оплаты доставки: стоимость доставки может быть включена в стоимость оборудования либо оплата при получении